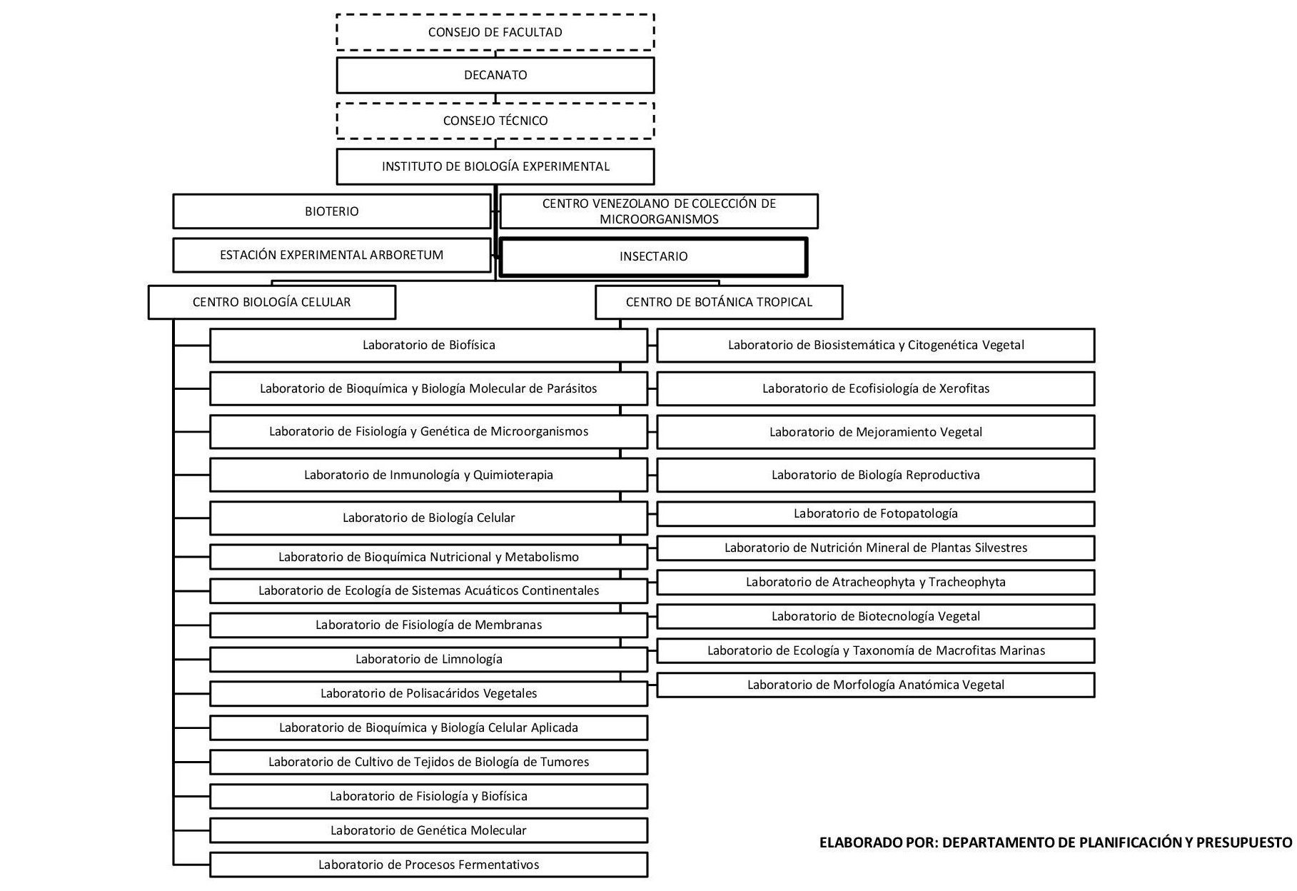
Instituto de Biología Experimental

El Instituto de Biología Experimental (IBE) es una institución adscrita a la Facultad de Ciencias de la Universidad Central de Venezuela, dedicada a la investigación básica y aplicada en el campo de la biología. Está compuesto por dos centros principales: el Centro de Biología Celular, que se enfoca en problemas de salud pública, parasitosis (como esquistosomiasis, tripanosomiasis y leishmaniasis), microbiología genética y biotecnología, incluyendo el cultivo de tejidos; y el Centro de Botánica Tropical, que se dedica al estudio y conservación de plantas, con énfasis en el desarrollo de técnicas para mantener el banco de germoplasma y el mejoramiento de plantas alimenticias. Además, el IBE cuenta con un bioterio para la cría de animales destinados a experimentación y alberga el Centro de Colecciones Microbiológicas de Venezuela, que es el principal repositorio de bacterias para estudios a nivel nacional e institucional.

Instituto de Biología Experimental de la facultad de Ciencias de la UCV

El Instituto de Biología Experimental tiene como misión promover y desarrollar investigación científica de alto nivel en biología básica y aplicada, con énfasis en áreas como salud pública, microbiología, biotecnología, botánica tropical y conservación de recursos biológicos.

Ser un referente nacional e internacional en la formación de profesionales altamente calificados en el área de las ciencias biológicas, integrados al proceso de desarrollo científico, tecnológico y social. Esta formación se impulsa mediante la docencia, la investigación y la extensión universitaria, contribuyendo al avance del conocimiento y a la solución de problemas en áreas como la biomedicina, la agroecología, la producción alimentaria y la conservación ambiental.

Organigrama

?

Si eres parte de nuestro grupo docente o administrativo, recuerda que la Facultad ofrece servicios de asistencia técnica y administrativa.


Servicios DTIC Servicios Mantenimiento